UTSOURCE()サイトは、ここをクリック
種類
購入(0)
引き合い(0)
Dear customers, due to the implementation of the GDPR policy in Europe, UTSOURCE has also made adjustment accordingly to meet the policy requirements. Please read the new privacy policy carefully and this window will no longer pop up after you accept it.
Delivery Address
+ アドレスの追加
新運送先
*追跡情報を時間内に受信できるように、携帯電話番号を正しく入力してください。
国コード
8N3QV01FG-1151CDI
LM358N/NOPB
Guangdong Fenghua Advanced Tech RS-06L7R87FT(50pcs)
TA-I Tech RMS10FT15R0(50pcs)
YAGEO AC0805FR-071M2L(50pcs)
2SC2552
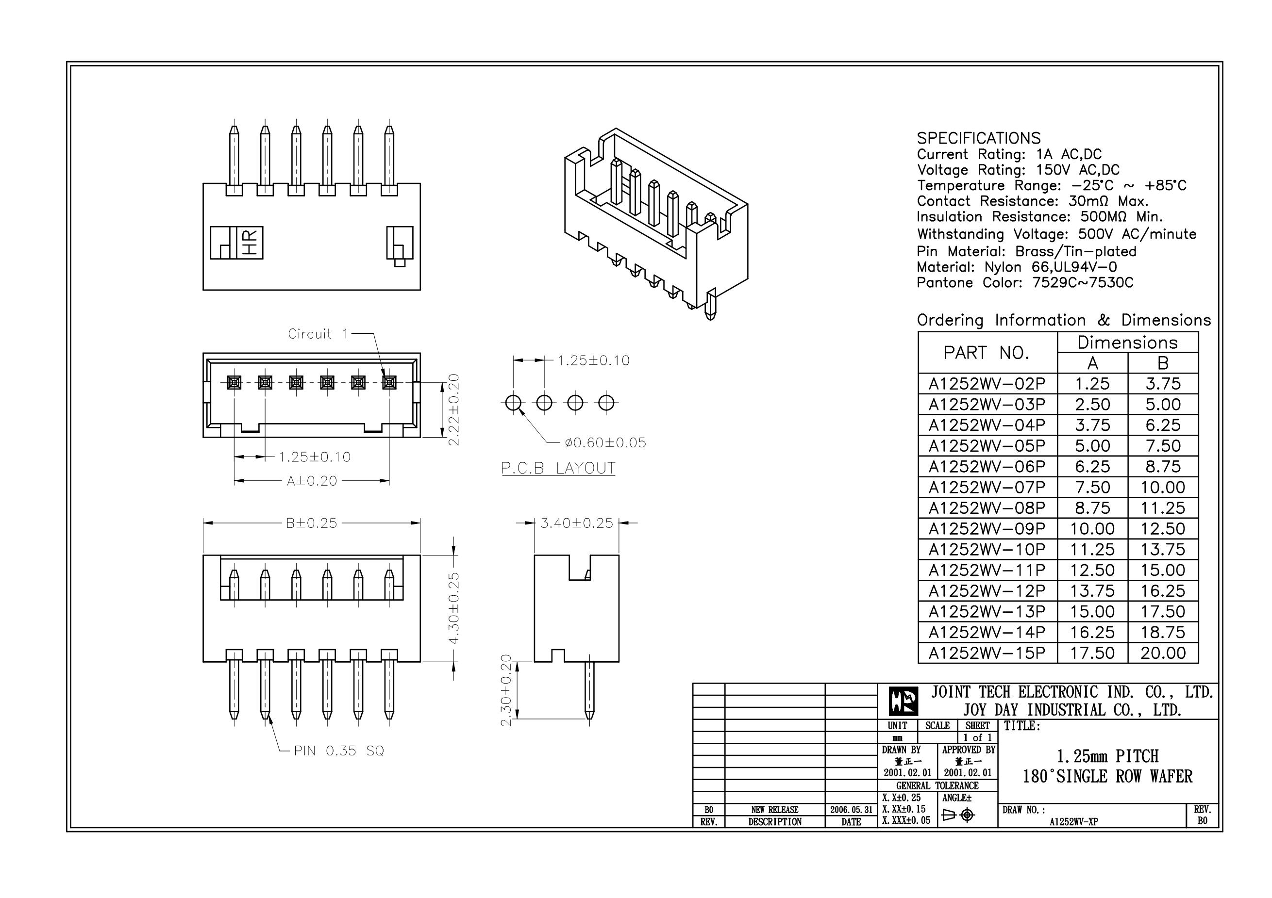
Joint Tech Elec A1252WV-02P(10pcs)
XKB Enterprise X8821WVS-08-9TSN
Uniroyal Elec 1206W4F1471T5E(100pcs)
YAGEO AC0402JR-072RL(100pcs)
Cixi Kefa Elec KF2EDGV-2.5-10P
Ymin VKMD1651K121MV
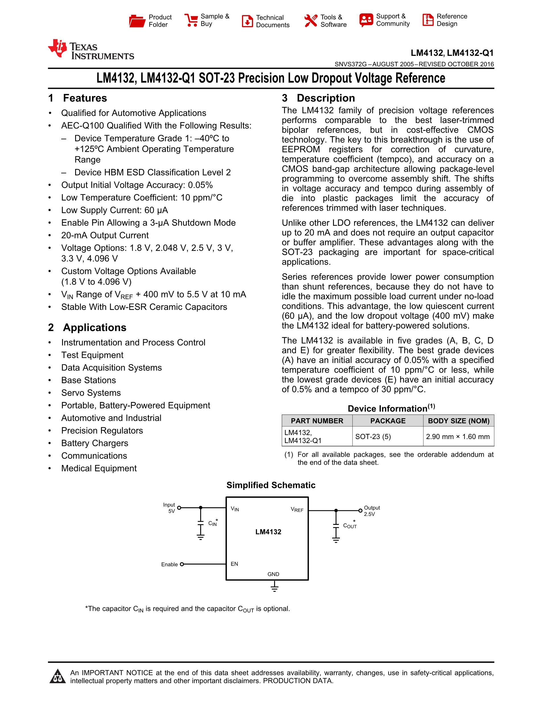
LM4132EMFX-4.1/NOPB
RFP30P06
Cixi Kefa Elec KF2EDGKB-3.5-5P
Guangdong Fenghua Advanced Tech FHW0603UC8N2JGT(10pcs)
MAX660MX/NOPB
Changjiang Connectors A1252H-10P(5pcs)